
인도과학연구소 과학자가 고에너지 입자 거동을 연구하는 중 우연히 원주율(π)에 대한 새로운 표현 방식을 발견했다고 보고했다.
새로운 원주율 공식을 발견한 이는 인도과학연구소 고에너지물리학센터의 아닌다 신하(Aninda Sinha) 박사와 아르납 사하(Arnab Saha) 박사. 이들은 원래 원주율과는 별개 연구를 하고 있었다고 한다. 양자론에서의 고에너지 물리학을 연구하거나 입자가 어떻게 상호작용하는지 이해하기 위해 보다 정확하고 간단한 모델을 개발하는 것이었다. 그러던 중 원주율을 조사할 수 있는 새로운 방법이 나왔을 때 흥분했다는 설명이다.
신하 박사 등이 연구 주제로 삼았던 끈 이론은 입자를 점이 아닌 진동하는 끈으로 취급하는 이론적 체계다. 끈 이론(string theory)이라고도 불리는 이 이론에서는 자연계를 이루는 기본 입자 차이는 끈이 진동하는 패턴 그러니까 진동 모드 차이라고 설명한다.
기본 입자를 연구하는 데 있어서는 대형강입자가속기에서 충돌하는 양성자 등 고에너지 입자 상호작용을 가능한 한 단순하게 파악하는 게 중요하지만 이는 쉽지 않다. 왜냐하면 입자에는 질량과 진동, 운동 등 자유도라고 불리는 고려해야 할 요소가 여럿 있기 때문.

이런 계산을 가능한 한 단순화하는 최적화 문제에 착수했던 사하 박사는 입자 상호작용을 효율적으로 표현하는 방법을 모색하고 있었다. 그리고 사하 박사와 신하 박사는 그런 모델을 개발하기 위해 오일러 베타 함수(beta function)와 파인만 다이어그램(Feynman diagram))이라는 2가지 수학적 도구를 사용하기로 했다. 오일러 베타 함수는 기계학습을 포함한 물리학과 공학 등 다양한 분야 문제를 해결하는 데 사용되는 수학적 함수다. 또 파인만 다이어그램은 두 입자가 상호작용해 산란될 때 일어나는 에너지 전환을 설명하는 수학적 표현ㅇ리다.
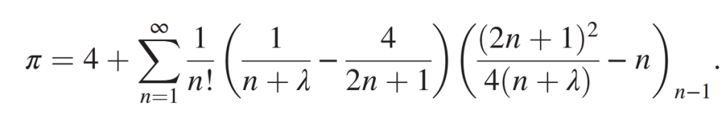
이런 수학적 도구를 조합해 개발된 모델은 양자 상호작용을 설명할 뿐 아니라 π의 급수 표현이기도 했다.
수학에서 π를 구성 요소로 표현할 때 급수가 사용된다. π를 요리에, π를 구성하는 수를 요리 재료에 비유하면 급수는 레시피라고 할 수 있다. π의 가능한 한 정확한 값을 신속히 찾을 수 있도록 무수한 수 조합을 특정하는 것은 지금까지 어려웠다. 하지만 신하 박사 등이 우연히 발견한 이번 공식은 π에 신속히 수렴해 고에너지 입자 운동 분석 계산 등에 활용될 수 있다.
신하 박사 등 연구 결과는 아직 이론 단계에 머물러 있지만 언젠가는 삶에 도움이 될 수도 있다. 예를 들어 1928년 폴 디락이 전자 운동에 관한 수학적 과제를 다뤘는데 이 연구는 나중에 양전자 발견, 그리고 질병이나 암 검사에 쓰이는 양전자방출단층촬영(PET) 개발로 이어졌다.
신하 박사는 이런 성과가 바로 일상생활에 응용되지는 않을 수 있지만 순수 이론을 배우는 기쁨을 준다고 밝혔다. 관련 내용은 이곳에서 확인할 수 있다.
![[AI서머리] 한·아프리카재단, ‘자이텍스 아프리카 2026’서 최대 성과‧에이블리, 역대 최대 실적](https://startuprecipe.co.kr/wp-content/uploads/2026/04/260410_korea.kr_050320535-350x250.jpg)
